Notice
Recent Posts
Recent Comments
Link
코알못
Word2vec - 코사인유사도 본문
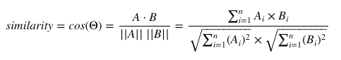
- word2vec 에서 유사도 계산법
- 코사인 각도를 이용한 벡터의 유사도 (1일수록 유사도가 높음)

- 계산식

- 예제
1) 코사인 유사도를 이용한 비슷한 단어 찾기
:: github.com/works-code/word2vec
works-code/word2vec
word2vec. Contribute to works-code/word2vec development by creating an account on GitHub.
github.com
# Reference
위키독스
온라인 책을 제작 공유하는 플랫폼 서비스
wikidocs.net
728x90
'PYTHON' 카테고리의 다른 글
| [selenium] 손쉽게 브라우저 자동 캡쳐 기능 만들기 (0) | 2021.05.02 |
|---|---|
| 파이썬 머신러닝 완벽 가이드 - 3장 (0) | 2020.11.08 |
| 파이썬 머신러닝 완벽 가이드 - 2장 (0) | 2020.10.31 |
| 파이썬 머신러닝 완벽 가이드 - 1장 (0) | 2020.10.31 |
| Word2vec (0) | 2020.10.18 |
Comments